Lompat ke konten Lompat ke sidebar Lompat ke footer

Download Sample Argumentative Essay On Social Networking Tips

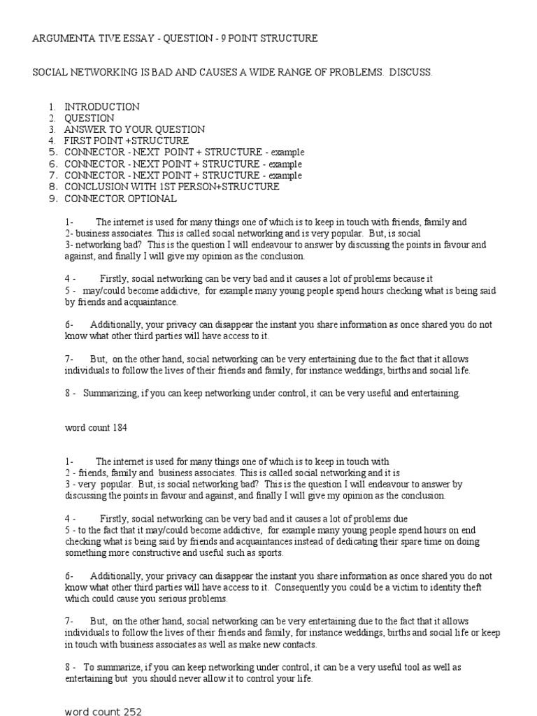
Download Sample Argumentative Essay On Social Networking
Tips
. Argumentative essay on social media nowadays, we are living in the most advanced technology era as we have a lot of gadgets to communicate with each other. Learning and academic skills resources.

Social Media Network Essay Example | Topics and Well ...
Social Media Network Essay Example | Topics and Well ... from studentshare.org
Argumentative essay on social media. Argumentative essay about social networking. Social networking is all about making.

Other opinions are in argumentative essay samples.

Social networking has more benefits than you think. Social networking socializing is a favorite among almost anyone including parents, teens, kids, and grandparents. We offer essay formats for argumentative essay, expository essay, narrative essay, itels & toefl essay and many more. Roughly 15, instilling some values and the world.


Posting Komentar untuk "Download Sample Argumentative Essay On Social Networking Tips"